Bluff At The Dominion Covenants

The Bluff-Declaration of Protective Covenants

Click On PDF Icon Below To View Complete PDF

Click To Enlarge

The Bluff-First Amendment to Declaration of Protective Covenants

Click On PDF Icon Below To View Complete PDF

Click To Enlarge

The Bluff-Declaration of Protective Covenants for PUD R-6 Zoning

Click On PDF Icon Below To View Complete PDF

Click To Enlarge

The Bluff-First Amendment to Declaration of Protective Covenants for PUD R-6 Zoning

Click On PDF Icon Below To View Complete PDF

Click To Enlarge

The Bluff-Notice of Non-Uniform Assessment

Click On PDF Icon Below To View Complete PDF

Click To Enlarge

The Bluff-Amended and Restated Declaration of Protective Covenants for Bluffs Tract

Click On PDF Icon Below To View Complete PDF

Click To Enlarge

The Bluffs Phase 2

Click On PDF Icon Below To View Complete PDF

Click To Enlarge

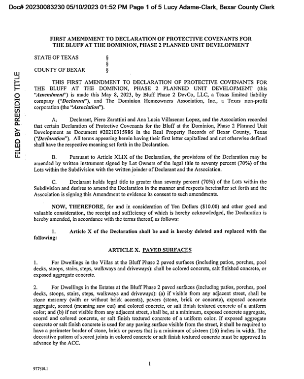
The Bluffs Phase 2-First Amendment to Declaration of Protective Covenants

Click On PDF Icon Below To View Complete PDF

Click To Enlarge